TIN TỨC

Phân biệt một số loại thang đo độ cứng thông dụng
Độ cứng là gì?
   Độ cứng (của kim loại hay vật liệu rắn) là khả năng chịu đựng chống lại sự biến dạng của vật liệu rắn dưới tác dụng của một lực nào đó, thường là lực đâm xuyên.
Phân biệt một số loại thang đo độ cứng?
1. Độ cứng MOHS
   Là loại thang đo độ cứng chủ yếu dành cho các loại khoáng vật. Thang đo này đặc trưng cho khả năng làm trầy xước hoặc chống lại trầy xước dựa trên những loại khoáng vật khác nhau. Khoáng vật nào có độ cứng lớn hơn sẽ làm trầy được khoáng vật có độ cứng bé hơn.
hieu chuan may do do cung
Hình ảnh về độ cứng của các khoán vật
   Hình trên, rất dễ nhận thấy, “kim cương” là vật liệu cứng nhất. Phương pháp này chỉ mang tính chất so sánh tương đối, không đưa ra kết quả chính xác, chỉ có ý nghĩa trong nghiên cứu tính chất của tinh thể, ít được ứng dụng trong sản xuất, đo lường thực tế.
2. Độ cứng Brinell
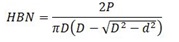
   Là loại thang đo độ cứng lâu đời và được ứng dụng khá rộng rãi. Đây là phương pháp đo thuộc dạng ấn lõm. Mũi thử có đầu là một viên bi có đường kính D và lực ấn P xác định, tác dụng lực vuông góc lên bề mặt mẫu thử trong một khoảng thời gian xác định, tạo nên vết lõm. Sau đó, xác định đường kính vết lõm, tính được độ cứng, ký hiệu là HB.
   Đường kính đầu bi có thể là 10mm, 5mm hoặc 1mm với lực ấn là 3000kgf, 750kgf hoặc 30kgf. Mối quan hệ P/D2 được chuẩn hóa để kết quả đo được ổn định ứng với nhiều loại vật liệu khác nhau. Ví dụ với thép, tỷ lệ này là 30:1, với nhôm tỷ lệ này là 5:1.
Công thức tính độ cứng là:
Công thức tính độ cứng
Trong đó:
  • F: lực tác dụng vuông góc với bề mặt mẫu thử, N    
  • D: đường kính viên bi của mũi thử, mm
  • d: đường kính vết lõm trên bề mặt mẫu thử, mm
Hoặc:
CT tính độ cứng
Trong đó:
  • P: lực tác dụng vuông góc với bề mặt mẫu thử, kgf
  • D: đường kính viên bi của mũi thử, mm
  • d: đường kính vết lõm trên bề mặt mẫu thử, mm
độ cứng Brinell
Hình ảnh nguyên lý đo độ cứng Brinell
   Đặc trưng của phương pháp Brinell:
  • Cần kính lúp có vạch đo, hoặc kính hiển vi, máy đo quang học để xác định vết lõm.
  • Lực ấn lõm chỉ tác dụng 1 lần trên bề mặt mẫu thử
  • Phương pháp đo nhanh, độ chính xác không quá cao
  • Không áp dụng cho vật liệu quá cứng, tấm mỏng, bề mặt cong
3. Độ cứng Rockwell
   Đây cũng là một loại thang đo độ cứng phổ biến hiện nay, dựa trên phương pháp đo thuộc dạng ấn lõm. Điểm khác biệt so với phương pháp Brinell, đó là phương pháp Rockwell sẽ ấn 2 lần lên bề mặt mẫu thử. Chênh lệch độ lún sâu giữa 2 lần ấn lực sẽ được dùng để tính toán độ cứng. Như vậy, phương pháp này không cần hệ thống quang học để đo kích thước vết lõm. Đơn vị chung của thang đo Rockwell là HR (Hardness Rockwell).
độ cứng Rockwell
Hình ảnh nguyên lý đo độ cứng Rockwell
   Phương pháp này sử dụng 2 loại mũi đo: đầu bi (Carbide Tungsten) và mũi kim cương dạng chóp, góc đỉnh 120º (kim cương).
máy đo độ cứng
   Công thức tính độ cứng là:
CT tinh do cung
Trong đó:
  • U = 100 khi đo độ cứng bằng mũi kim cương
  • U = 130 khi đo độ cứng bằng mũi viên bi
  • T = 0.002mm khi đo độ cứng thông thường (Regular Rockwell Hardness)
  • U = 0.001mm khi đo độ cứng bề mặt (Superficial Rockwell Hardness)
  • Δh: chênh lệch chiều cao giữa 2 lực ấn lõm (mm)
   Phương pháp này có nhiều thang đo cùng hệ, tùy thuộc vào dạng mũi đo, lực ấn. Do đó, chúng ta sẽ thấy nhiều loại đơn vị đo của Rockwell, như HRA, HRB, HRC,… đều bắt đầu bằng ký hiệu HR, ký hiệu số thứ tự 3 theo bảng bên dưới để phân biệt.
bảng độ cứng Rockwell
Bảng độ cứng Rockwell
máy đo độ cứng rockwell
Hình ảnh máy đo độ cứng Rockwell
   Đặc trưng của phương pháp Rockwell:
  • Lực ấn lõm tác dụng 2 lần trên bề mặt mẫu thử, cần thời gian để đạt đúng chiều sâu ở mỗi lần ấn lực.
  • Phương pháp đo nhanh, độ chính xác cao.
  • Chỉ áp dụng với chi tiết có phạm vi nhỏ.
  • Không phù hợp với vật liệu tấm mỏng, xi mạ.
  • Thang đo rộng do có nhiều loại đơn vị đo, có thể chuyển đổi đơn vị đo cùng hệ Rockwell.
4. Độ cứng Vicker
   Đây cũng là một loại thang đo độ cứng phổ biến hiện nay, dựa trên phương pháp đo thuộc dạng ấn lõm. Phương pháp gần giống với phương pháp Brinell, nhưng độ chính xác cao hơn.
   Đầu tiên, điều chỉnh hệ thống quang học để nhìn thấy rõ bề mặt của mẫu. Sau đó, mũi chóp kim cương sẽ ấn với lực chỉ định một lần. 2 đường chéo của vết lõm và lực ấn sẽ được dùng để tính toán độ cứng, đơn vị đo là HV. Phương pháp này sử dụng mũi kim cương dạng chóp, góc 2 cạnh đối diện 136º.
độ cứng Vicker
Hình ảnh nguyên lý đo độ cứng Vicker
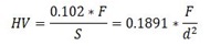
   Công thức tính độ cứng Vicker:
Công thức tính độ cứng Vicker
Trong đó:
  • HV: độ cứng theo thang Vicker,
  • F: lực tác dụng, N
  • d: chiều dài trung bình 2 đường chéo (D1,D2) của vết lõm, mm
Hoặc:
cong thuc tinh do cung vicker
Trong đó:
  • HV: độ cứng theo thang Vicker
  • F: lực tác dụng, kgf
  • d: chiều dài trung bình 2 đường chéo (D1,D2) của vết lõm, µm
   Đặc trưng của phương pháp Vicker:
  • Cần kính hiển vi, máy đo quang học để xác định bề mặt mẫu cũng như vết lõm.
  • Lực ấn lõm tác dụng 1 lần trên bề mặt mẫu thử, cần thời gian để hình thành vết lõm rõ ràng.
  • Phương pháp đo được độ cứng các chi tiết nhỏ, đòi hỏi bề mặt được gia công kỹ lưỡng.
  • Đo được độ cứng vật liệu mỏng, lớp phủ.
5. Độ cứng Leeb
   Độ cứng Leeb thuộc phương pháp đo theo kiểu bật nẩy của bi đo. Theo nguyên lý động lực Leeb, giá trị độ cứng được tính từ sự mất năng lượng của vật thể va chạm xác định sau khi tác động lên một mẫu kim loại. Chỉ số Leeb (vi, vr) được lấy làm thước đo tổn thất năng lượng do biến dạng dẻo: mẫu thử càng cứng thì tốc độ phản lực của bị đo phục hồi nhanh hơn so với mẫu mềm hơn. Một bộ từ tính bên trong ống đo điện áp thay đổi khi bị đo nẩy lại, di chuyển qua cuộn dây đo. Phương pháp Leeb cũng có khá nhiều đơn vị đo, ta có thể phân biệt dựa vào đặc trưng của phương pháp Leeb.
   Đặc trưng của phương pháp Leeb:
  • Là phương pháp đo cơ động và nhanh chóng.
  • Đo được các mẫu có kích thước lớn và khối lượng >1kg.
  • Có thể chuyển đổi sang nhiều đơn vị đo khác.
  • Độ chính xác và độ lặp lại ở mức tương đối, thấp hơn so với các loại máy bàn của Rockwell, Vicker.
độ cứng leeb
Hình ảnh nguyên lý đo độ cứng Leeb
6. Độ cứng SHORE
   Độ cứng SHORE sử dụng phương pháp đo độ cứng SHORE được phát triển bởi ông Albert F. Shore vào những năm 1920. Dụng cụ đo độ cứng là máy đo độ cứng Durometer. Máy này sử dụng tải trọng được áp vào nhờ một lực lò xo. Giá trị độ cứng sẽ được xác định bằng sự xuyên qua của đầu đo Durometer vào mẫu thử. Vì cao su và nhựa có tính đàn hồi nên giá trị độ cứng có thể chuyển qua thời gian, tức là thời gian tác dụng lực ấn vào bề mặt mẫu thử đôi khi cũng được coi là giá trị của độ cứng.
   Phương pháp đo độ cứng Shore được dùng để đo những chất dẻo như polime, cao su, polyolefins, fluoropolymers và vinyls. Thang đo được sử dụng là thang đo Shore A - dùng với vật liệu bằng cao su mềm và thang đo Shore D - dùng cho vật liệu cứng hơn.

Quý khách có nhu cầu kiểm định, hiệu chuẩn thiết bị, vui lòng liên hệ theo địa chỉ:
Trung tâm Kiểm định hiệu chuẩn vùng 3
Địa chỉ: Số 69, đường số 8, phường An Khánh, Tp. Thủ Đức, Tp.HCM
Văn phòng GD và phòng thí nghiệm: Đường DX17, Phú Thọ, Phú Chánh, TX. Tân Uyên, Bình Dương.
Điện thoại (028) 9999 0979 - Email: kd@kiemdinhvung3.com

CÁC TIN KHÁC:
DỊCH VỤ
TIN TỨC NỔI BẬT
  |  
LIÊN HỆ
Địa chỉ: Số 69, Đường số 8, Phường An Khánh, Tp. Thủ Đức, Thành phố Hồ Chí Minh (nay là Số 69, Đường số 8, Phường An Khánh, TpHCM )
Phòng thí nghiệm: Đường DX17, Phú Thọ, Phú Chánh, Tân Uyên, Bình Dương (nay là Đường DX17, Kp. Phú Chánh, P. Bình Dương, TpHCM)
Số điện thoại: (028) 9999 0979
Địa chỉ email: kd@kiemdinhvung3.com
 
  • Nguyễn Thị Anh Thư
    0916620738
    Phòng kinh doanh
  • Lê Thị Hồng Hương
    0909711460
    Phòng kinh doanh
  • Nguyễn Thị Thu Thảo
    0812610738
    Phòng kinh doanh
  • Phan Thị Loan
    0915845738
    Phòng Kinh doanh
  • Nguyễn Thị Kiều Linh
    0919 940 738
    Phòng Kinh doanh